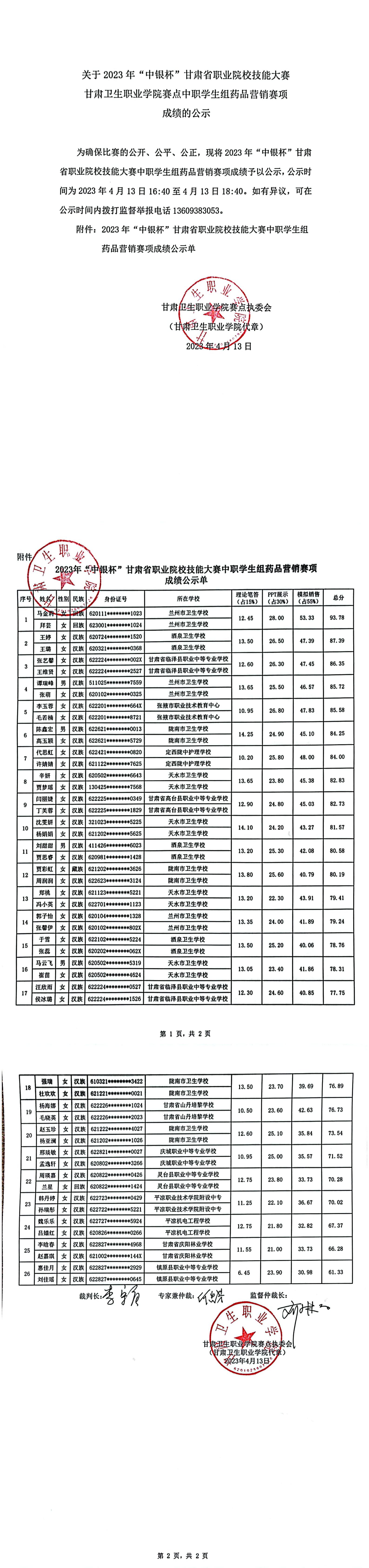
关于2023年“中银杯”甘肃省职业院校技能大赛365英国上市集团官网赛点中职学生组药品营销赛项成绩的公示
发布时间:2023-04-13
点击数:13339


电话:0931-8265644
甘公网安备 62010202002035号Copyright © 2005-2024 365英国上市公司(集团)官方网站-Ultra Platform www.tsingyuuun.com. All Rights Reserved.
陇ICP备11000186号-1
